2023 공무원 봉급 인상률 1.7%, 2023 공무원 봉급표, 2023 교사 봉급표
- 일상 이야기
- 2022. 8. 30. 23:30
2023 공무원 봉급 인상률 1.7%, 2023 공무원 봉급표, 2023 교사 봉급표
기획재정부는 2023년 예산안에서 공무원 봉급 인상비율을 결정해서 발표했다. 2023 공무원 봉급 인상률이 1.7% 이다. 4급 이상 고위직은 봉급이 동결된다. 장차관 이상은 10%를 반납한다. 2023 공무원 봉급인상률 1.7%가 계산된 2023 공무원 봉급표와 2023 교사 봉급표에 대해 알아보기로 한다.
1.7%가 확정된다면 9급공무원 1호봉은 현재 168만 6500원에서 171만 5171원으로 소폭 인상된다. 예전에는 상하위직 구분없이 공무원 봉급 인상 비율을 발표했으나 이번에는 4급 이상은 동결되었으므로 전체 공무원 봉급은 1.7% 인상보다 더 낮을 것으로 예상된다.



장차관 이상은 10%를 반납하고 대통령과 국무총리 등도 동참할 것으로 예상된다.



3년 연속 1%대 봉급 인상률
2020년 2.8% 인상된 이후 2021년 0.9%, 2022년 1.4%, 2023년 4급 이상 제외 1.7%가 되어 3년 연속 1%대 봉급 인상률을 기록하고 있다.
정부가 중하위직만 1.7%만 봉급 올린 것은 공무원 사회도 허리띠를 졸라매자와 하위직 처우개선 필요하다는 의견에 따라 당초 1.4%에서 0.3% 인상된 1.7%가 되는 것이다.




공무원노조는 최저임금에도 못미치는 하위직 공무원의 처우개선이 필요하며 최근 2년간 1%대 봉급인상은 물가 대비 실질임금은 감소되었다고 주장했다. 그래서 7%대 인상률을 주장하기도 했다.
그만두는 공무원
과거 공무원은 안정되고 연금도 받을 수 있는 직장으로 인기가 높았다. 하지만 지금은 젊은 공무원들의 이탈이 이어지고 있다. 가장 큰 이유는 워라밸 없는 생활, 힘든 노동에 쥐꼬리만한 봉급 등의 이유로 MZ세대 8,9급 공무원들이 퇴사가 늘고 있다. 또 연금개혁으로 퇴직 후 생활이 보장되지 못하는 적은 연금을 받을 수도 있다는 불안감도 있다고 한다.



줄어드는 경쟁률
공무원 시험 경쟁률도 2011년 93대 1에서 2022년 29.2대 1로 경쟁률이 많이 낮아졌다. 인구 감소가 있어서 경쟁률도 낮아졌다고는 하나 낮은 임금도 공무원 경쟁률을 낮추는 원인이되고 있다. 물가는 점점 오르는데 공무원 임금은 쥐꼬리만하니 공무원 생활이 매력적이지 않게 보이는 것이다.
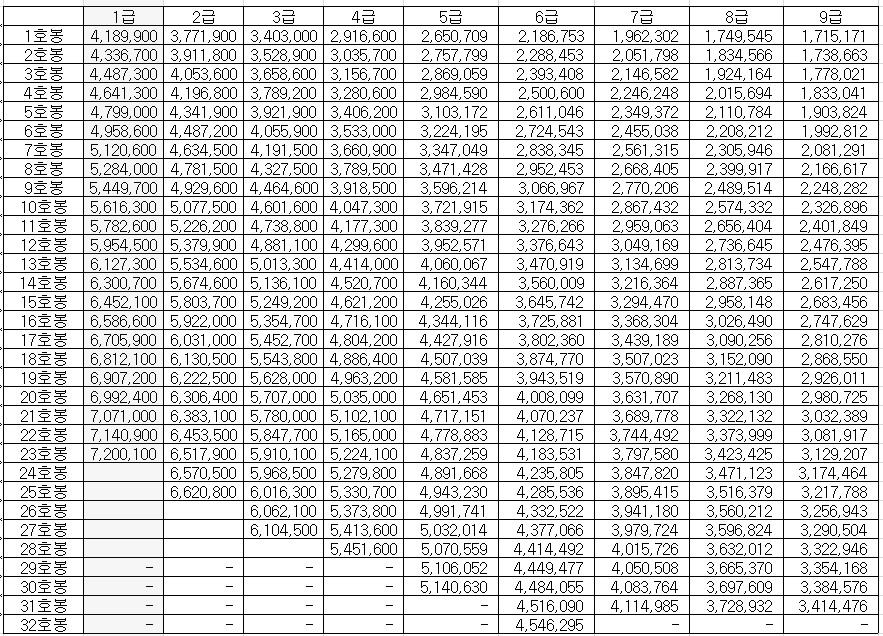
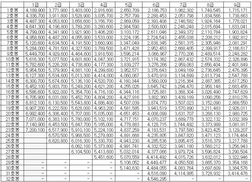
2023 공무원 봉급표
2023년 공무원 봉급표를 대충 계산해 보았다. 4급 이상은 동결로 계산하였고, 5급 이하는 1.7% 인상된 금액을 계산한 봉급표이다.

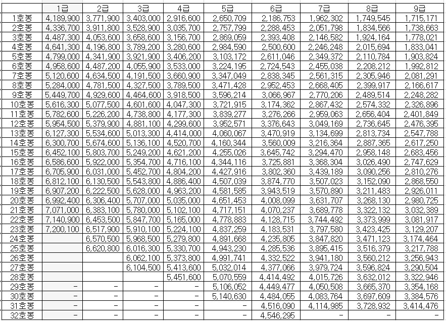
2023 교사 봉급표
교사는 급수가 없는 단일 호봉제이므로 4급 이상이 누구인지 몰라 전부 1.7% 인상된 금액으로 계산하였다. 교장이라고 해도 학교 규모에 따라 몇 급 상당이라고 딱히 정의할 수 없다고 생각하였기 때문이다.

'일상 이야기' 카테고리의 다른 글
| 태풍 므르복 뜻 예상경로는? (0) | 2022.09.09 |
|---|---|
| 포항 지하주차장 사고 원인과 기적적인 구출 (0) | 2022.09.07 |
| 신종 학교폭력 킥보드 셔틀 뜻 (0) | 2022.08.30 |
| 형제복지원 사건, 형제복지원 위치, 형제복지원 원장 (0) | 2022.08.27 |
| 자신만의 레시피를 겨냥한 모디슈머의 뜻 (0) | 2022.08.27 |